ಕೇರಳ ಸರ್ಕಾರ ಇತ್ತೀಚೆಗೆ ಅನುಮೋದಿಸಿದ ಮಲಯಾಳಂ ಭಾಷಾ ನೀತಿ ಮಸೂದೆ ಪರ ವಿರೋಧದ ಚರ್ಚೆ ಹುಟ್ಟು ಹಾಕಿದೆ. ಮಲಯಾಳಂ ಭಾಷಾ ನೀತಿಯಿಂದಾಗಿ ಕಾಸರಗೋಡಿನಲ್ಲಿ ಕನ್ನಡ ಮಾತನಾಡುವವರಿಗೆ ಹಾಗೂ ಕನ್ನಡ ಕಲಿಯುವವರ ಹಕ್ಕಿನ ಮೇಲೆ ದಾಳಿಯಾಗುತ್ತಿದೆ ಎಂದೆಲ್ಲ ಆರೋಪಿಸಲಾಗಿದೆ. ಈ ಹಿನ್ನೆಲೆಯಲ್ಲಿ ಮಾತೃ ಭಾಷೆಗೆ ಅಥವ ರಾಜ್ಯಭಾಷೆಗೆ ಆದ್ಯತೆ ಕೊಡುವ ಭಾಷಾ ನೀತಿಯನ್ನು ಎಷ್ಟು ರಾಜ್ಯಗಳಲ್ಲಿ ಜಾರಿ ಮಾಡಲಾಗಿದೆ. ಕರ್ನಾಟಕದಲ್ಲಿ ಜಾರಿಯಲ್ಲಿರುವ ಭಾಷಾ ನೀತಿ ಎಂತಹದು ಎಂಬುದರ ಮೇಲೆ ಈ ಲೇಖನ ಬೆಳಕು ಚಲ್ಲುತ್ತದೆ. ಅಲ್ಪಸಂಖ್ಯಾತ
– ಗುರುರಾಜ ದೇಸಾಯಿ
ಸ್ವಾತಂತ್ರ್ಯ ಬಂದು ಏಳು ದಶಕಗಳೇ ಕಳೆದು ಹೋಗಿದ್ದರೂ ವಸಾಹತುಶಾಹಿ ಧೋರಣೆಗಳಿಂದ ಹೊರ ಬರಲಾರದ ಈ ಸಮಾಜದಲ್ಲಿ ಆಂಗ್ಲ ಮಾಧ್ಯಮ ಇಂದಿಗೂ ಪ್ರತಿಷ್ಠೆಯ ಸಂಕೇತವಾಗಿಯೇ ಉಳಿದಿದೆ. ಇಂಗ್ಲಿಷ್ ಭಾಷೆಯಲ್ಲಿ ಶಿಕ್ಷಣ ಪಡೆದರೆ ಮಾತ್ರ ಜಾಗತಿಕ ಉದ್ಯೋಗ ಮಾರುಕಟ್ಟೆಯಲ್ಲಿ ಮೌಲ್ಯವಿದೆ ಎಂಬ ನಂಬಿಕೆಯಲ್ಲಿ ಬದುಕುತ್ತಿದ್ದೇವೆ. ಹಾಗಾಗಿ ಮಾತೃಭಾಷಾ ಶಿಕ್ಷಣ ಮಹತ್ವವನ್ನೆ ಕಳೆದುಕೊಂಡಿದೆ. ಈ ಹಿನ್ನೆಲೆಯಲ್ಲಿ ರಾಜ್ಯದ ಭಾಷೆಯನ್ನಾದರೂ ಉಳಿಸಬೇಕು ಎಂಬ ಪ್ರಯತ್ನಗಳು ನಡೆಯುತ್ತಿದ್ದರೆ ಅದು ಸಂತಸದ ಸಂಗತಿಯಾಗಬೇಕು. ಅಲ್ಪಸಂಖ್ಯಾತ
ಮಲಯಾಳಂ ಭಾಷಾ ನೀತಿಯಿಂದ ಕನ್ನಡಕ್ಕೆ ಕುತ್ತೆ?
“ಮಲಯಾಳಂ ಭಾಷಾ ಮಸೂದೆ 2025” ಕೇರಳದ ವಿಧಾನಸಭೆಯಲ್ಲಿ ಅಂಗೀಕಾರಗೊಂಡು ಈಗ ರಾಜ್ಯಪಾಲರ ಅಂಕಿತಕ್ಕೆ ಹೋಗಿದೆ. ಈ ನಡುವೆ ಕೇರಳ ಸರ್ಕಾರದ ಕ್ರಮದ ಬಗ್ಗೆ ಪರ ವಿರೋಧದ ಚರ್ಚೆಗಳು ಎದ್ದಿವೆ. ಇದು ಜಾರಿಯಾದರೆ ಕಾಸರಗೋಡು ಜಿಲ್ಲೆಯಲ್ಲಿ ಕಾಪಿಟ್ಟುಕೊಂಡಿರುವ ಕನ್ನಡ ಭಾಷೆಯ ಕತ್ತನ್ನು ಹಿಸುಕಲಾಗುತ್ತಿದೆ ಎಂದೆಲ್ಲ ಸ್ವತಃ ನಮ್ಮ ರಾಜ್ಯದ ಮುಖ್ಯಮಂತ್ರಿ ಸೇರಿ ಅನೇಕ ಜನ ಶಿಕ್ಷಣ ತಜ್ಞರು ಕಳವಳ ವ್ಯಕ್ತಪಡಿಸುತ್ತಿದ್ದಾರೆ. ಇದು ನಿಜವೇ ಎಂಬುದನ್ನು ಅರ್ಥೈಸಿಕೊಳ್ಳುವುದು ಮುಖ್ಯ. ಅಲ್ಪಸಂಖ್ಯಾತ
ಇದನ್ನೂ ಓದಿ: ಮುಸ್ಲಿಂ ಮತ ಅಳಿಸಲು ಬಿಜೆಪಿ ಒತ್ತಡ ಆರೋಪ: ‘ನಾನು ಆತ್ಮಹತ್ಯೆ ಮಾಡಿಕೊಳ್ಳುತ್ತೇನೆ’ – ಬಿಎಲ್ಒ ಅಧಿಕಾರಿ
‘ಮಲಯಾಳಂ ಭಾಷಾ ಮಸೂದೆ 2025’ ಜಾರಿಯಾದರೆ ಕೇರಳ ಮತ್ತು ಕರ್ನಾಟಕ ಗಡಿ ಭಾಗವಾದ ಕಾಸರಗೋಡು ಮತ್ತು ಮಂಜೇಶ್ವರದಲ್ಲಿ ಕನ್ನಡ ಮಾಧ್ಯಮದಲ್ಲಿ ಕಲಿಯುತ್ತಿರುವ ಮಕ್ಕಳ ಭವಿಷ್ಯಕ್ಕೆ ತೊಂದರೆಯಾಗುತ್ತದೆ ಎಂಬ ಆತಂಕ ಹುಟ್ಟಿಕೊಳ್ಳುವುದು ಸಹಜ. ಆದರೆ ಕಾಯ್ದೆಯನ್ನು ಸರಿಯಾಗಿ ಅಧ್ಯಯನ ಮಾಡದೇ ರಾಜಕೀಯ ಲಾಭವನ್ನು ಪಡೆಯಲು ಬಳಸಿಕೊಳ್ಳುವುದು ಸರಿಯಾದ ನಡೆ ಆಗಲಾರದು. ಮಸೂದೆಯ ಸೆಕ್ಷನ್6(3) ಸ್ಪಷ್ಟವಾಗಿ ಹೇಳುತ್ತದೆ. ಅದೇನೆಂದರೆ..
“ಮಾತೃಭಾಷೆ ಮಲಯಾಳಂ ಹೊರತಾದ ಯಾವುದೇ ಭಾಷೆಯಾಗಿರುವ ವಿದ್ಯಾರ್ಥಿಗಳಿಗೆ, ತಮ್ಮ ಮಾತೃಭಾಷೆಯ ಜೊತೆಗೆ ಮಲಯಾಳಂ ಭಾಷೆಯನ್ನು ಅಧ್ಯಯನ ಮಾಡುವ ಅವಕಾಶ ನೀಡಲಾಗುತ್ತದೆ. ಅಂದರೆ ಕಾಸರಗೋಡಿನಲ್ಲಿ ಕನ್ನಡ ಮಾಧ್ಯಮದಲ್ಲಿ ಓದುತ್ತಿರುವ ವಿದ್ಯಾರ್ಥಿಗಳು ಕನ್ನಡವನ್ನು ಪ್ರಥಮ ಭಾಷೆಯಾಗಿ ಕಲಿಯುತ್ತಿದ್ದಾರೆ. ಈಗ ಹೆಚ್ಚುವರಿಯಾಗಿ ಒಂದು ಅವಧಿಯಲ್ಲಿ ಮಾತ್ರ ಮಲಯಾಳಂ ಹೇಳಿಕೊಡಲಾಗುತ್ತಿದೆ. ಆಡಳಿತ ಭಾಷೆಯನ್ನು ಕಲಿಸುವುದಕ್ಕಾಗಿ ಈ ಬಾರಿಯಿಂದ 1ನೇ ತರಗತಿಯಿಂದ 10 ತಗರಗತಿ ವರಗೆ ಮಲಯಾಳಂ ಭಾಷೆಯನ್ನು ಹೆಚ್ಚುವರಿಯಾಗಿ ಕಲಿಸಲಾಗುತ್ತಿದೆ. ಆದರೆ ಈ ಬಾಷೆಗೆ ಯಾವುದೇ ಪರೀಕ್ಷೆ ಇರುವುದಿಲ್ಲ. ಮನೆ ಭಾಷೆಯಾಗಿ ಅಲ್ಲಿ ತುಳು, ಬ್ಯಾರಿ ಭಾಷೆಯನ್ನು ಮಾತನಾಡುವವರ ಸಂಖ್ಯೆ ಹೆಚ್ಚಿದೆ. 5% ರಿಂದ 6% ನಷ್ಟು ಜನರು ಮಾತ್ರ ಕನ್ನಡವನ್ನು ಮನೆ ಭಾಷೆಯಾಗಿ ಬಳಸುತ್ತಾರೆ. ಆದರೆ ಇದರಲ್ಲಿ ಬಹುತೇಕರು ತಮ್ಮ ಮಕ್ಕಳನ್ನು ಇಂಗ್ಲೀಷ್ ಮಾಧ್ಯಮ ಶಾಲೆಗೆ ಕಳುಹಿಸುತ್ತಾರೆ.
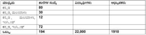
ಕಾಸರಗೋಡು ಜಿಲ್ಲೆಯಲ್ಲಿ ಎಷ್ಟು ಶಾಲೆಗಳಲ್ಲಿ ಕನ್ನಡ ಮಾಧ್ಯಮ ಮತ್ತು ಬೋಧನೆ ಇದೆ ಎಂಬುದನ್ನು ಈ ಕೆಳಗಿನ ಕೋಷ್ಟಕವನ್ನು ಗಮನಿಸಿದರೆ ತಿಳಿಯುತ್ತದೆ. ಅಲ್ಪಸಂಖ್ಯಾತ

ಕೇರಳದಲ್ಲಿ ವಿದ್ಯಾರ್ಥಿ ಶಿಕ್ಷಕರ ಅನುಪಾತ 24ಕ್ಕೆ 01 ಇದೆ. ಆದರೆ ಕಾಸರಗೋಡಿನಲ್ಲಿ 13ಕ್ಕೆ 01 ಇದೆ. ಕರ್ನಾಟಕದಲ್ಲಿ ವಿದ್ಯಾರ್ಥಿ ಶಿಕ್ಷಕಕರ ಅನುಪಾತ 30ಕ್ಕೆ 01 ಇದೆ. ಕಾಸರಗೋಡಿನಲ್ಲಿ ಕನ್ನಡ ಮಾಧ್ಯಮ ಶಾಲೆಗಳಲ್ಲಿ ವಿದ್ಯಾರ್ಥಿಗಳ ಸಂಖ್ಯೆ ಎರಡು, ನಾಲ್ಕು ಇದೆ. ಆದರೂ ಕನ್ನಡ ಶಾಲೆಗಳನ್ನು ಮುಚ್ಚದೆ, ಅ ಶಾಲೆಗಳಿಗೆ ಪೂರ್ಣ ಪ್ರಮಾಣದ ಶಿಕ್ಷಕರನ್ನು, ಸೌಲಭ್ಯಗಳನ್ನು ನೀಡಿ ಪ್ರೋತ್ಸಾಹಿಸುತ್ತಿದೆ. ಆದರೆ ಕರ್ನಾಟಕದಲ್ಲಿ ಕಡಿಮೆ ದಾಖಲಾತಿಯ ನೆಪವೊಡ್ಡಿ ಸರಕಾರಿ ಶಾಲೆಗಳನ್ನು ವಿಲೀನದ ಹೆಸರಿನಿಲ್ಲಿ 15 ಸಾವಿರಕ್ಕೂ ಹೆಚ್ಚು ಶಾಲೆಗಳನ್ನು ಮುಚ್ಚಲು ಸಿದ್ಧತೆ ನಡೆಸಿದೆ.
ಕೇರಳದ ಕಾಸರಗೋಡಿನಲ್ಲಿರುವ ಕನ್ನಡ ಶಾಲೆಗಳಲ್ಲಿ ಹಿಂದಿನಿಂದಲೂ ಕನ್ನಡವನ್ನು ಪ್ರಥಮ ಭಾಷೆಯಾಗಿ ಕಲಿಸಲಾಗುತ್ತದೆ. ಈ ಮಸೂದೆ ಜಾರಿಯಾದರೂ ಕನ್ನಡ ಮೊದಲ ಭಾಷೆಯಾಗಿ ಇರಲಿದೆ ಎಂದು ಸೆಕ್ಷನ್ 7 ರಲ್ಲಿ ಸ್ಪಷ್ಟವಾಗಿ ಉಲ್ಲೇಖಿಸಲಾಗಿದೆ. ಅಲ್ಲಿ ಈ ರೀತಿ ಇದೆ “ ಕನ್ನಡದ ಮಕ್ಕಳು ಕೇರಳದ ಉತ್ತರ ಭಾಗದಲ್ಲಿ ಕನ್ನಡದಲ್ಲೇ ಅಧ್ಯಯನ ಮುಂದುವರೆಸುವ ಹಕ್ಕನ್ನು ಈ ಕಾಯ್ದೆ ನೀಡುತ್ತದೆ. ಸೆಕ್ಷನ್ 7(3) ಪ್ರಕಾರ, ಕನ್ನಡದ 9 ಮತ್ತು 10 ನೇ ತರಗತಿ ವಿದ್ಯಾರ್ಥಿಗಳು ಕನ್ನಡದಲ್ಲೇ ಪರೀಕ್ಷೆ ಬರೆಯಲು ಅವಕಾಶ ನೀಡಲಾಗಿದೆ. ಅವರಿಗೆ ಪ್ರಶ್ನೆ ಪತ್ರಿಕೆಯನ್ನೂ ಕನ್ನಡದಲ್ಲೇ ನೀಡಿ, ಉತ್ತರವನ್ನೂ ಕನ್ನಡದಲ್ಲೇ ಬರೆಯವ ಅವಕಾಶ ನೀಡಲಾಗಿದೆ. ಅಷ್ಟು ಮಾತ್ರವಲ್ಲದೆ ಪ್ರಾಥಮಿಕ ಶಾಲೆಯಲ್ಲೂ ಕನ್ನಡದಲ್ಲೇ ಕನ್ನಡ ವಿದ್ಯಾರ್ಥಿಗಳು ಪರೀಕ್ಷೆ ಬರೆಯಬಹುದು ಎಂದು ಉಲ್ಲೇಖಿಸಿದ್ದಾರೆ. ಅಂದರೆ ಭಾಷಾ ಅಲ್ಪಸಂಖ್ಯಾತರು ವಾಸಿಸುವ ಪ್ರದೇಶದಲ್ಲಿ ಅವರದೇ ಭಾಷೆ ( ಕನ್ನಡ, ತಮಿಳು ) ಯಲ್ಲಿ ವ್ಯವಹರಿಸುವ ಹಕ್ಕನ್ನು ಕಾಪಿಡಲಾಗಿದೆ.
ಹಿರಿಯ ಪ್ರಾಥಮಿಕ ಶಾಲೆಗಳಲ್ಲಿ ಕನ್ನಡ ದೊಂದಿಗೆ ಸಂಸ್ಕೃತ ಅಥವಾ ಉರ್ದು ಆಸಕ್ತಿ ಇದ್ದವರು ಪ್ರಥಮ ಭಾಷೆಯಾಗಿ ಆಯ್ಕೆ ಮಾಡಿಕೊಳ್ಳಬಹುದು. ಆದರೆ ಕಡ್ಡಾಯವೇನಲ್ಲ. ಸಂಸ್ಕೃತ ಅಥವಾ ಉರ್ದು ಪ್ರಥಮ ಭಾಷೆ ಯಾಗಿ ಸ್ವೀಕರಿಸಿದಲ್ಲಿ ದ್ವಿತೀಯ ಭಾಷೆ ಸಹಜವಾಗಿ ಕನ್ನಡವೇ ಆಗಿರುತ್ತದೆ. ಇನ್ನು ಇಂಗ್ಲೀಷ್ ಮಾಧ್ಯಮ ಶಾಲೆಗಳಲ್ಲಿ ಕನ್ನಡದ ಜೊತೆಗೆ ಮಲಯಾಳಂ ಹೆಚ್ಚುವರಿಯಾಗಿ ಕಲಿಯಬಹುದು. ಆದರೆ ಕಡ್ಡಾಯವಲ್ಲ. ಇಷ್ಟೊಂದು ಸ್ಪಷ್ಟವಾಗಿ ನೀತಿಯಲ್ಲಿ ಹೇಳಿರುವಾಗ ಹೀಗಿರುವಾಗ ಕರ್ನಾಟಕ ಸರಕಾರ ಎತ್ತಿರುವ ಪ್ರಶ್ನೆ ಅನಗತ್ಯಗೊಂದಲವಾಗಿ ಕಾಣುತ್ತದೆ. ಹಾಗೇನಾದರೂ ಸಾಂವಿಧಾನಿಕ ಸಮಸ್ಯೆಗಳಿದ್ದಲ್ಲಿ ಪತ್ರದ ಮೂಲಕ ಸರಿಪಡಿಸಿಕೊಳ್ಳಬಹುದಿತ್ತು. ಆದಾಗ್ಯೂ ಈ ಚರ್ಚೆಯ ನಂತರ ಕೇರಳದ ಮುಖ್ಯಮಂತ್ರಿ ಪಿಣರಾಯಿ ವಿಜಯನ್ ಕನ್ನಡ ಶಾಲೆಗಳಿಗೆ, ಹಾಗೂ ಕನ್ನಡ ಮಾಧ್ಯಮದ ಬೋಧನೆಗೆ ಯಾವುದೆ ಕುಂದು, ಧಕ್ಕೆ ಬರುವುದಿಲ್ಲ ಎಂದು ಸ್ಪಷ್ಟ ಪಡಿಸಿದ್ದಾರೆ.
ಮಾತೃಭಾಷಾ ಮಾಧ್ಯಮದಲ್ಲಿ ಶಿಕ್ಷಣ ಜಾರಿಯಾಗಬೇಕು, ಆಯಾ ರಾಜ್ಯದ ಮುಖ್ಯ ಭಾಷೆ ಆಡಳಿತ ಭಾಷೆಯಾಗಬೇಕು ಎಂಬ ಚಿಂತನೆಗೆ ದೀರ್ಘ ಚರಿತ್ರೆಯೇ ಇದೆ. ಭಾರತದಲ್ಲಿ ಶಿಕ್ಷಣ ನೀತಿಯನ್ನು ರೂಪಿಸುವುದರಲ್ಲಿ ಪ್ರಮುಖ ಪಾತ್ರವನ್ನು ವಹಿಸಿದ ಕೊಠಾರಿ ಶಿಕ್ಷಣ ಆಯೋಗ 1964-66 ರಲ್ಲೇ ಶಿಕ್ಷಣದ ಮೂಲಕ ಬೃಹತ್ ಸಾಮಾಜಿಕ ಕ್ರಾಂತಿಯಾಗಲಿದೆ ಎಂಬ ಆಶಯವನ್ನು ವ್ಯಕ್ತಪಡಿಸಿತ್ತು. ಸಮಾನತೆಯ ಹೋರಾಟದ ಹಾದಿಯಲ್ಲಿ ಅತ್ಯಂತ ಪ್ರಬಲವಾದ ಸಾಧನವಾಗಿ ಶಿಕ್ಷಣ ರೂಪುಗೊಳ್ಳಲಿದೆ ಎಂದು ಸೂಚಿಸಿತ್ತು. ಎಡ ವಿದ್ಯಾರ್ಥಿ ಸಂಘಟನೆಗಳು, ಶಿಕ್ಷಣ ತಜ್ಞರು ಕೊಠಾರಿ ಆಯೋಗ ಜಾರಿಯಾಗಬೇಕು ಎಂದು ಹೋರಾಡುತ್ತಲೇ ಬಂದರು.
ಆದರೆ ಆದದ್ದೇ ಬೇರೆ. ಇಲ್ಲಿಯವರೆಗೆ ಆಡಳಿತ ನಡೆಸಿದ ಸರಕಾರಗಳು ಈ ಆಯೋಗದ ಶಿಫಾರಸ್ಸುಗಳನ್ನು ಜಾರಿ ಮಾಡಲು ಸಮರ್ಪಕ ಪ್ರಯತ್ನ ನಡಸಲೇ ಇಲ್ಲ. ರಾಜ್ಯದಲ್ಲಿಯೂ ಕನ್ನಡ ಭಾಷೆಯನ್ನು ಬಲಪಡಿಸಲು ಚರ್ಚೆಗಳು ನಡೆಯುತ್ತಲೇ ಇವೆ. ಕರ್ನಾಟಕದಲ್ಲಿ ರಾಜ್ಯ ಶಿಕ್ಷಣ ನೀತಿ ಸಿದ್ದಪಡಿಸಲು ಪ್ರೊ. ಸುಖ್ದೇವ್ ಥೋರಟ್ ಅವರ ಅಧ್ಯಕ್ಷತೆಯಲ್ಲಿ ಸಮಿತಿ ರಚನೆ ಮಾಡಲಾಯಿತು. ಅಂತಿಮವಾಗಿ ಅವರು ವರದಿಯನ್ನು ನೀಡಿಯಾಗಿದೆ. ಕನಿಷ್ಟ ಅದರ ಬಗ್ಗೆ ಇನ್ನೂ ಚರ್ಚೆಯೆ ನಡೆಯುತ್ತಿಲ್ಲ ಇನ್ನು ಜಾರಿಯ ಮಾತು ದೂರವೆಂದೆ ಹೇಳಬಹುದು.
ಆಡಳಿತ ಭಾಷೆಯಾಗಿ ಕನ್ನಡ
ಭಾರತದ ಸಂವಿಧಾನವು ಒಕ್ಕೂಟ ವ್ಯವಸ್ಥೆಯನ್ನು ಒಪ್ಪಿಕೊಂಡಿದೆ ಮತ್ತು ಭಾಷೆಗಳ ಆಧಾರದಲ್ಲಿ 1956ರಲ್ಲಿ ರಾಜ್ಯಗಳ ವಿಂಗಡಣೆಯಾಗಿದೆ. ನಿಜಾಮ ಮತ್ತು ಇತರ ಸಂಸ್ಥಾನಗಳಲ್ಲಿ ಹಾಗೂ ಬಾಂಬೆ ಮತ್ತು ಮದ್ರಾಸ್ ಪ್ರಾಂತ್ಯದಲ್ಲಿ ಹಂಚಿಹೋಗಿದ್ದ ಪ್ರದೇಶಗಳನ್ನು ಒಟ್ಟುಗೂಡಿಸಿ ಕರ್ನಾಟಕ ಉದಯವಾಯಿತು.
ಕನ್ನಡ ಭಾಷೆ ಕರ್ನಾಟಕದ ಅಧಿಕೃತ ಭಾಷೆಯ ಪಟ್ಟ ಪಡೆದುಕೊಂಡಿತು. ದಖನಿ, ತುಳು, ಕೊಂಕಣಿ ಭಾಷೆಗಳೊಂದಿಗೆ ತಮಿಳು ಮರಾಠಿ, ಉರ್ದು, ಲಮಾಣಿ, ಬ್ಯಾರಿ, ಸೇರಿದಂತೆ ಕೆಲವು ಭಾಷೆಗಳನ್ನಾಡುವ ಜನರು ಇದ್ದಾರೆ. ಹೀಗಿದ್ದಾಗಲೂ ಕರ್ನಾಟಕದಲ್ಲಿ ಇಂಗ್ಲೀಷ್ ಭಾಷೆ ಹಾಸುಹೊಕ್ಕಾಗಿದೆ. ಆಡಳಿತದಲ್ಲಿ (ಗೆಜೆಟ್ ನೊಟೀಫೀಕೇಷನ್), ನ್ಯಾಯಾಲಯಗಳ ತೀರ್ಪಿನಲ್ಲಿ, ಬೋಧನಾ ಮಾಧ್ಯಮದಲ್ಲಿ ಇಂಗ್ಲೀಷ್ ಕಬಂಧ ಬಾಹು ಚಾಚಿದೆ. ಬೇರೆ ರಾಜ್ಯಗಳಲ್ಲಿ ಮಾತೃ ಭಾಷೆಗೆ ಹೆಚ್ಚಿನ ಒತ್ತು ನೀಡಲಾಗುತ್ತಿದೆ. ರಾಜ್ಯದಲ್ಲಿಯೂ ಜಾರಿ ಮಾಡಲು ಅನೇಕ ಸವಾಲುಗಳಿವೆ ಆದರೆ ಸರ್ಕಾರ ಇಚ್ಛಾಶಕ್ತಿ ತೋರುತ್ತಿಲ್ಲ.
ಕರ್ನಾಟಕದಲ್ಲಿ ಬೋಧನಾ ಮಾಧ್ಯಮ
ಸ್ವಾತಂತ್ರ್ಯಾನಂತರ ಕರ್ನಾಟಕದಲ್ಲಿ ಪ್ರಾಥಮಿಕ ಮತ್ತು ಪ್ರೌಢ ಶಿಕ್ಷಣದಲ್ಲಿ ಕನ್ನಡ ಮಾಧ್ಯಮ ಪ್ರಧಾನವಾಗಿತ್ತು. ಸರ್ಕಾರಿ ಶಾಲೆಗಳು ಕನ್ನಡದಲ್ಲಿ ಶಿಕ್ಷಣ ನೀಡುತ್ತಿದ್ದವು. 1990ರ ನಂತರ ಖಾಸಗಿ ಇಂಗ್ಲಿಷ್ ಮಾಧ್ಯಮ ಶಾಲೆಗಳ ವಿಸ್ತರಣೆಯೊಂದಿಗೆ ಬೋಧನಾ ಮಾಧ್ಯಮದ ಪ್ರಶ್ನೆ ತೀವ್ರಗೊಂಡಿತು. ಸರ್ಕಾರಿ ಶಾಲೆಗಳು ಕನ್ನಡ ಮಾಧ್ಯಮದಲ್ಲಿ ಬೋಧನೆ ಮಾಡುತ್ತಿವೆ. ಇಂಗ್ಲೀಷ್ನ್ನು ಒಂದನೇ ತರಗತಿಯಿಂದಲೇ ಭಾಷೆಯಾಗಿ ಕಲಿಸಲಾಗುತ್ತಿದೆ. 5 ನೇ ತರಗತಿಗೆ ಇಂಗ್ಲೀಷ್ ಎರಡನೆಯ ಭಾಷೆಯಾಗಿ, 6 ನೇ ತರಗತಿಗೆ ಹಿಂದಿ 3ನೇ ಭಾಷೆಯಾಗಿ ಕಲಿಸಲಾಗುತ್ತಿದೆ. ಖಾಸಗಿ ಶಾಲೆಗಳು ಇಂಗ್ಲೀಷ್ ಮಾಧ್ಯಮದಲ್ಲಿ ಬೋಧನೆ ನಡೆಸುತ್ತಿವೆ. ಇಲ್ಲಿ ಎರಡು ರೀತಿಯ ವಿಧಾನ ಇದೆ. ಮೊದಲ ವಿಧಾನದಲ್ಲಿ ಇಂಗ್ಲೀಷ್ನ್ನು ಪ್ರಥಮ ಭಾಷೆಯಾಗಿ ಕಲಿಸಲಾಗುತಿದೆ. ಕನ್ನಡ ಎರಡನೆಯ ಭಾಷೆಯಾಗಿ ಇರುತ್ತದೆ. ಇನ್ನೊಂದು ವಿಧಾನದಲ್ಲಿ ಕನ್ನಡ ಪ್ರಥಮ ಭಾಷೆಯಾಗಿದ್ದರೆ, ಇಂಗ್ಲೀಷ್ನ್ನು ಎರಡನೆಯ ಭಾಷೆಯಾಗಿ ಕಲಿಸಲಾಗುತ್ತಿದೆ. ಇಲ್ಲಿ ಯಾವುದನ್ನು ಮೊದಲ ಭಾಷೆಗೆ ಆಯ್ಕೆ ಮಾಡಿಕೊಳ್ಳುತ್ತಾರೆ 125 ಅಂಕ ನಿಗದಿ ಮಾಡಲಾಗುತ್ತಿದೆ. ಅಲ್ಪಸಂಖ್ಯಾತ ಶಾಲೆಗಳಾದ ಉರ್ದು, ತಮಿಳು, ತೆಲುಗು, ಮಲಯಾಳಂ ಮುಂತಾದ ಭಾಷೆಗಳು ಮಾತೃ ಭಾಷೆಗಳಲ್ಲಿ ಬೋಧನೆ ಮಾಡುತ್ತಿವೆ. ಕನ್ನಡವನ್ನು ಎರಡನೆಯ ಭಾಷೆಯಾಗಿ ಕಲಿಸಲಾಗುತ್ತಿದೆ.
ರಾಜ್ಯದಲ್ಲಿ ಸುಮಾರು 90% ಶಾಲೆಗಳು ಕನ್ನಡ ಮತ್ತು ಇಂಗ್ಲಿಷ್ ಮಾಧ್ಯಮ ಶಾಲೆಗಳಾಗಿದ್ದು, ಉಳಿದ 10% ಶಾಲೆಗಳು ಭಾಷಾ ಅಲ್ಪಸಂಖ್ಯಾತ ಶಾಲೆಗಳಾಗಿವೆ. ವಿದ್ಯಾರ್ಥಿಗಳ ಕಲಿಕಾ ಮಾಧ್ಯಮದ ಆಯ್ಕೆ ಪೋಷಕರಿಗೆ ಬಿಟ್ಟಿದ್ದು ಎಂದು ಸುಪ್ರೀಂ ಕೋರ್ಟ್ ತೀರ್ಪು ನೀಡಿರುವ ಕಾರಣ ಬಹುತೇಕ ಪೋಷಕರು ಮಕ್ಕಳನ್ನು ಇಂಗ್ಲೀಷ್ ಮಾಧ್ಯಮ ಶಾಲೆಗಳಿಗೆ ಕಳುಹಿಸುತ್ತಿದ್ದಾರೆ. 55% ವಿದ್ಯಾರ್ಥಿಗಳು ಇಂಗ್ಲೀಷ್ ಮಾಧ್ಯಮದಲ್ಲಿ ಅಧ್ಯಯನ ಮಾಡುತ್ತಿದ್ದಾರೆ.
ಕರ್ನಾಟಕದಲ್ಲಿ ಭಾಷಾ ಅಲ್ಪಸಂಖ್ಯಾತ ಶಾಲೆಗಳು
ರಾಜ್ಯದಲ್ಲಿ ಉರ್ದು, ತೆಲುಗು, ತಮಿಳು, ಮರಾಠಿ, ಹಿಂದಿ ಮತ್ತು ಮಲಯಾಳಂ ಸೇರಿದಂತೆ ಆರು ಭಾಷಾ ಅಲ್ಪಸಂಖ್ಯಾತ ಶಾಲೆಗಳಿವೆ. ಈ ಶಾಲೆಗಳಲ್ಲಿ ಕನ್ನಡವನ್ನು ಪ್ರಥಮ ಅಥವಾ ದ್ವಿತೀಯ ಭಾಷೆಯಾಗಿ ಕಡ್ಡಾಯ ಮಾಡಲಾಗಿದೆ. ಬೋಧನಾ ಮಾಧ್ಯಮವು ಆಯಾ ಮಾತೃಭಾಷೆಯಲ್ಲಿರುತ್ತದೆ. ಈ ಕೆಳಗಿನ ಕೋಷ್ಟಕವನ್ನು ಗಮನಿಸಿದರೆ ಕರ್ನಾಟಕದಲ್ಲಿರುವ ಭಾಷಾ ಅಲ್ಪಸಂಖ್ಯಾತ ಶಾಲೆಗಳ ವಿವರ ತಿಳಿಯುತ್ತದೆ.

ಈ ಕೋಷ್ಟಕ ಅನೇಕ ವಿಚಾರಗಳನ್ನು ತೆರೆದಿಡುತ್ತದೆ. ಗಡಿ ಭಾಗದ ಭಾಷೆಗಳನ್ನು ನಾವು ಪೋಷಿಸುತ್ತಾ ಬಂದಿದ್ದೇವೆ ಎಂಬುದನ್ನು ಸಮರ್ಥಿಸುತ್ತದೆ. ಆದರೆ ಇಲ್ಲಿ ಬಹುತೇಕವಾಗಿ ಕನ್ನಡವನ್ನು ಎರಡನೆಯ ಭಾಷೆಯಾಗಿ ಕಲಿಯಲಾಗುತ್ತಿದೆ. ಇಲ್ಲಿ ಕನ್ನಡ ಬದಲು ಇಂಗ್ಲೀಷ್ ಪಡೆಯಲು ಅವಕಾಶ ಇದೆ.
ತಮಿಳು ಮಾಧ್ಯಮ ಶಾಲೆಗಳು ಬೆಂಗಳೂರು ಉತ್ತರ, ಬೆಂಗಳೂರು ದಕ್ಷಿಣ, ಚಾಮರಾಜ ನಗರ, ಚಿಕ್ಕಮಂಗಳೂರು, ಕೊಡಗು, ಶಿವಮೊಗ್ಗ ಜಿಲ್ಲೆಗಳಲ್ಲಿ ಇವೆ. ಬಳ್ಳಾರಿ, ಬೆಂಗಳೂರು ಗ್ರಾಮಾಂತರ, ಬೆಂಗಳೂರು ಉತ್ತರ, ಬೆಂಗಳೂರು ದಕ್ಷಿಣ, ಧಾರವಾಡ, ಕಲಬುರ್ಗಿ, ಕೊಪ್ಪಳ, ರಾಯಚೂರು, ಕೋಲಾರ ಜಿಲ್ಲೆಗಳಲ್ಲಿ ತೆಲಗು ಮಾಧ್ಯಮ ಶಾಲೆಗಳಿವೆ. ಮರಾಠಿ ಮಾಧ್ಯಮದ ಶಾಲೆಗಳು ಬೆಳಗಾವಿ, ಬೀದರ್, ಕಲಬುರ್ಗಿ, ಧಾರವಾಡ, ಗದಗ, ಉತ್ತರ ಕನ್ನಡ, ವಿಜಯಪುರ ಜಿಲ್ಲೆಗಳಲ್ಲಿ ಇವೆ. ಹಿಂದಿ ಮಾಧ್ಯಮ ಶಾಲೆಗಳು, ಕಲಬುರ್ಗಿ, ರಾಯಚೂರು, ಧಾರವಾಡ, ಮೈಸೂರು, ರಾಯಚೂರು, ಬೆಂಗಳೂರು ದಕ್ಷಿಣ ಜಿಲ್ಲೆಗಳಲ್ಲಿ ಇವೆ. ಮಲಯಾಳಂ ಶಾಲೆಗಳಲ್ಲಿ ಮಕ್ಕಳ ದಾಖಲಾತಿ ಕುಸಿತ ಕಂಡ ಕಾರಣ ಶಾಲೆಗಳನ್ನು ಮುಚ್ಚಲಾಗಿದೆ. ಅಲ್ಪಸಂಖ್ಯಾತ
ಪ್ರಾಥಮಿಕ ಮತ್ತು ಪ್ರೌಢಶಾಲಾ ಶಿಕ್ಷಣದಲ್ಲಿ ಕನ್ನಡವನ್ನು ಕಡ್ಡಾಯವಾಗಿ ಕಲಿಯಬೇಕು ಮತ್ತು ಮೊದಲ ಭಾಷೆಯಾಗಿ ಜಾರಿಗೊಳಿಸಲು ಶಿಫಾರಸು ನೀಡಿತ್ತು, ಭಾಷಾ ನೀತಿಯನ್ನು ಜಾರಿ ಮಾಡಿರುವ ತಮಿಳುನಾಡು, ಆಂದ್ರ ಪ್ರದೇಶ, ತೆಲಂಗಾಣ, ಗುಜರಾತ್, ಮಹಾರಾಷ್ಟ್ರ, ಪಶ್ಚಿಮಬಂಗಾಳ, ಓಡಿಸ್ಸಾ, ಅಸ್ಸಾಂ, ಹರಿಯಾಣ, ಪಂಜಾಬ, ಉತ್ತರ ಪ್ರದೇಶ, ಬಿಹಾರ ಸೇರಿದಂತೆ ಅನೇಕ ರಾಜ್ಯಗಳಲ್ಲಿ ದ್ವಿಭಾಷಾ ನೀತಿ ಇದೆ. ಆದರೆ ಭಾಷಾ ಅಲ್ಪಸಖ್ಯಾತ ಶಾಲೆಗಳಲ್ಲಿ ಮಾತೃಭಾಷೆ ಪ್ರಥಮ ಭಾಷೆಯಾಗಿದ್ದರೆ, ಆಡಳಿತ ಭಾಷೆ ಎರಡನೆಯ ಭಾಷೆಯಾಗಿದೆ. ಭಾಷಾವಾರು ಪ್ರಾಂತ್ಯ ವಿಂಗಡನೆಯ ಸದರ್ಭದಲ್ಲಿಯೇ ಆಯಾ ರಾಜ್ಯದ ಆಡಳಿತ ಭಾಷೆಯನ್ನು ಕಲಿಯಲು ಶಿಫಾರಸ್ಸು ಮಾಡಲಾಗಿತ್ತು. ಈ ಹಿನ್ನೆಲೆಯಲ್ಲಿ ಕೇರಳ ಸರಕಾರ “ ಮಲಯಾಳಂ ಭಾಷಾʼ, ನೀತಿ ರೂಪಿಸಿದೆ.
“ಶಿಕ್ಷಣ ಎನ್ನುವುದು ಕೇವಲ ಅಂಕ ಗಳಿಕೆ, ಅಥವಾ ಅಂಕಪಟ್ಟಿಯ ಪ್ರದರ್ಶನವಲ್ಲ”. ಶಿಕ್ಷಣ ಬದುಕನ್ನು ಕಟ್ಟಿಕಡುತ್ತದೆ. ಸ್ಥಳೀಯವಾಗಿ ಉದ್ಯೋಗ ಸಿಗಬೇಕಾದರೆ ಆಯಾ ರಾಜ್ಯದ ಆಡಳಿತ ಭಾಷೆಯಲ್ಲಿ ಶಿಕ್ಷಣ ಕಲಿಯುವುದು ಅಗತ್ಯವಿದೆ. ಕೇರಳ ಮತ್ತು ಇತರ ರಾಜ್ಯಗಳಂತೆ ಕರ್ನಾಟಕವೂ ಗಟ್ಟಿಯಾದ ನಿರ್ಧಾರವನ್ನು ಮಾಡಬೇಕು. ಕರ್ನಾಟಕ ಶಿಕ್ಷಣ ನೀತಿಯ ಶಿಫಾರಸ್ಸನ್ನು ಜಾರಿ ಮಾಡಲು ಇಚ್ಛಾಶಕ್ತಿ ತೋರಬೇಕಿದೆ.
ಇದನ್ನೂ ನೋಡಿ: ಸಂಕ್ರಾಂತಿ ಕವಿಗೋಷ್ಠಿ | ಕಾವ್ಯಗಳ ಹುಗ್ಗಿಯ ಸಂಭ್ರಮ Janashakthi Media
